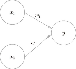
感知机(Perceptron) December 30, 2024 Content # \(y=\begin{cases} 0 & (w_1 x_1 + w_2 x_2 \le \theta)\\ 1 & (w_1 x_1 + w_2 x_2 > \theta) \end{cases}\) 神经元会计算传送过来的信号的总和,只有当这个总和超过了某个界限值时,才会输出1。这也称为“神经元被激活”。这里将这个界限值称为阈值,用符号θ表示。 From # Links #